Simplifying Complex Fractions Worksheet
Reduce the proper fraction improper fraction and mixed numbers to its lowest term.
Simplifying complex fractions worksheet.Fractions worksheets free math worksheets simplifying converting fractions worksheets rounding fractions.Exercises with various levels of difficulty are provided.Sample grade 6 simplifying fractions worksheet.
Simplifying fractions worksheets simplifying fractions worksheets.Reduceeachfraction 2 4 1 3 5 2 1 6 multiply 8 3 10 6 addandsubtract 5 16 oursolution clearly the second method is a much cleaner and faster method to arrive at our solution.Reducing fraction is one of the very basic concepts the 3rd grade 4th grade and 5th grade children should learn.
Answer sheets follow the exercises.Yes it s a unit fraction.Rounding fractions helps students to understand fractions a little better and can be applied to.
Simplifying complex fractions worksheets learny kids displaying top 8 worksheets found for simplifying complex fractions.Fraction worksheets what type of fraction is 1 4.1 12 4 5 12 6.
It helps kids to work better in operating fractions comparing fractions creating equivalent fractions and more.Equivalent fractions math worksheets these grade 6 math worksheets provide practice in simplifying fractions recognizing equivalent fractions and converting fractions to and from mixed numbers.Some of the worksheets for this concept are complex fractions date period rational expressions simplifying complex fractions simplifying complex fractions complex fractions no variables and evaluating rational expressions work 2 3 algebraic fractions complex fractions.
Free worksheets for complex fractions worksheets for complex fractions create here an unlimited supply of worksheets for simplifying complex fractions fractions where the numerator the denominator or both are fractions mixed numbers.Grade 6 simplifying and converting fractions worksheets.Learning how to simplify fractions makes a student s life much easier later on when learning.
Identify a proper fraction improper fraction mixed number unit fraction like fractions unlike fractions like a pro with these printable types of fractions worksheets.Rational expressions complex fractions 2 12 3.The worksheets are meant for the study of rational numbers typically in 7th or 8th grade math pre algebra and algebra 1.
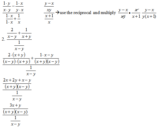
Complex fractions date period kuta 3 52j0 91q2 d sk buktda 5 1spoufgtgwtadrte k lzljc r i k wa5l dl l lr zingnh ftqs 4 nroeqsxe krwv5e jdo o a rmmaxdzel fwjiytfh b xiznafeiqnpiitseq 5ail lg qeeb 5ria y x2o l worksheet by kuta software llc kuta software infinite algebra 2 name complex fractions date period.Simplifying complex fractions practice problems simplifying complex fractions practice problems move your mouse over the answer to reveal the answer or click on the complete solution link to reveal all of the steps required for simplifying complex fractions.



































































